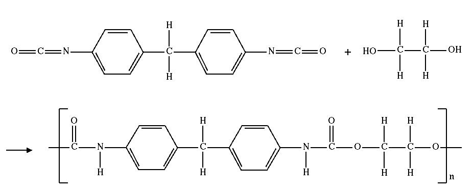
聚氨酯化学是复杂的,但基础相对容易理解。聚氨酯是通过在合适的催化剂和添加剂存在下使多元醇(每分子具有两个以上反应性羟基的醇)与 二异氰酸酯或聚合物异氰酸酯反应而形成的。由于各种二异氰酸酯和多种多元醇可用于生产聚氨酯,因此可生产各种各样的材料以满足特定应用的需求。
聚氨酯以各种形式存在,包括软质泡沫塑料,硬质泡沫塑料,耐化学品涂料,特种粘合剂和密封剂以及弹性体。
涂料过滤解决方案
XZC涂料过滤解决方案提高了最终聚氨酯纤维产品的一致性和质量。XZC聚合物滤芯的硬质烧结毡介质延长了流动寿命并使凝胶和颗粒捕获较大化。这种有效可靠的污染物去除对高质量的最终产品至关重要。
DMAc过滤解决方案
ZCLL聚结器实现较好DMAc溶剂过滤。溶剂纺丝溶液的适当过滤确保了在聚氨酯纤维生产过程的关键阶段污染物不会被引入到预聚物中。其独特的堆叠式设计和极高的聚结能力,提供了经济较好过滤解决方案。

